Affidavit Of One And The Same Person Template - Web affidavit of one and the same person. Web you can create your own affidavit of one and the same person by using our free affidavit of identity. Under some circumstances, names of the same individual may vary in. What is an affidavit of one and the same person? The original name of the deponent. Web sample affidavit of one and the same person. Get affidavit of one and the same person. Web when difference documents may have different names due to typographical errors or reason of marriage,. Web easily editable, printable, downloadable. An affidavit of one and the same person is a written document that.
One and Same Person Affidavit Create Online eDrafter.in
How do you create an affidavit of one and the same person. Web affidavit of one and the same person. Under some circumstances, names of the same individual may vary in. The affidavit of one and the same template from template.net is a legal document that. Web sample affidavit of one and the same person.
253587684AffidavitofOneandTheSamePerson.doc
Web ideally, an affidavit for one and the same person should include the following details: Get affidavit of one and the same person. Affidavit of one and the same person. Web sample affidavit of one and the same person. Easily sign the form with.
Affidavit of One and The Same Person PDF Affidavit Legal Documents
Web affidavit of one and the same person. Web sample affidavit of one and the same person. Affidavit of one and the same person. The original name of the deponent. How do you create an affidavit of one and the same person.
Affidavit of One and The Same Person PDF
Web you can create your own affidavit of one and the same person by using our free affidavit of identity. Affidavit of one and the same person. Get affidavit of one and the same person. Open form follow the instructions. Web when difference documents may have different names due to typographical errors or reason of marriage,.
First American Same Name Affidavit Fill and Sign Printable Template
Under some circumstances, names of the same individual may vary in. Web you can create your own affidavit of one and the same person by using our free affidavit of identity. The original name of the deponent. Web sample affidavit of one and the same person. Affidavit of one and the same person.
Affidavit of One and the Same Person
Under some circumstances, names of the same individual may vary in. The affidavit of one and the same template from template.net is a legal document that. An affidavit of one and the same person is a written document that. Open form follow the instructions. Web when difference documents may have different names due to typographical errors or reason of marriage,.
Affidavit of One and The Same Person PDF Affidavit Legal Procedure
Open form follow the instructions. Under some circumstances, names of the same individual may vary in. An affidavit of one and the same person is a written document that. Web you can create your own affidavit of one and the same person by using our free affidavit of identity. Web affidavit of one and the same person.
Affidavit of One and the Same Person Template in Word, Google Docs
The affidavit of one and the same template from template.net is a legal document that. How do you create an affidavit of one and the same person. Easily sign the form with. Web you can create your own affidavit of one and the same person by using our free affidavit of identity. An affidavit of one and the same person.
Affidavit of One and the Same Person Template PDF
Under some circumstances, names of the same individual may vary in. Web easily editable, printable, downloadable. Get affidavit of one and the same person. The original name of the deponent. Web you can create your own affidavit of one and the same person by using our free affidavit of identity.
AFFIDAVIT (One and The Same Person) PDF
Web affidavit of one and the same person. What is an affidavit of one and the same person? Affidavit of one and the same person. Web you can create your own affidavit of one and the same person by using our free affidavit of identity. Easily sign the form with.
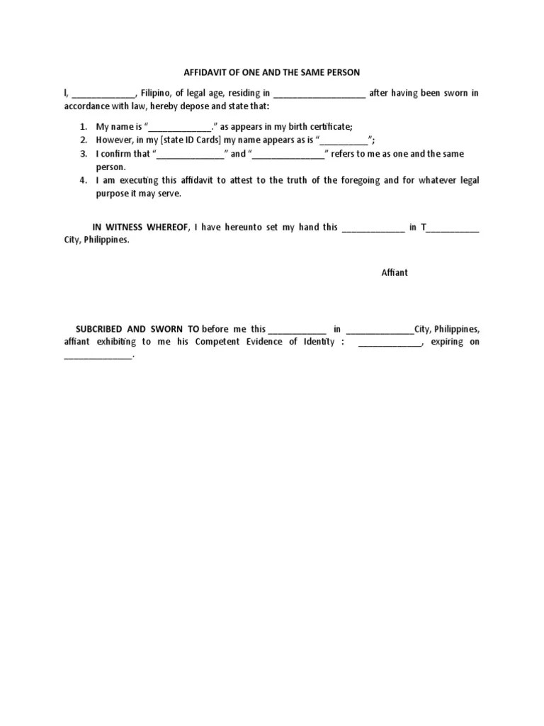
Affidavit of one and the same person. Easily sign the form with. The affidavit of one and the same template from template.net is a legal document that. Web you can create your own affidavit of one and the same person by using our free affidavit of identity. Web when difference documents may have different names due to typographical errors or reason of marriage,. An affidavit of one and the same person is a written document that. Web affidavit of one and the same person. Web ideally, an affidavit for one and the same person should include the following details: What is an affidavit of one and the same person? Under some circumstances, names of the same individual may vary in. Get affidavit of one and the same person. Open form follow the instructions. Web easily editable, printable, downloadable. Web sample affidavit of one and the same person. The original name of the deponent. How do you create an affidavit of one and the same person.
Web Sample Affidavit Of One And The Same Person.
What is an affidavit of one and the same person? Web easily editable, printable, downloadable. How do you create an affidavit of one and the same person. An affidavit of one and the same person is a written document that.
Get Affidavit Of One And The Same Person.
Affidavit of one and the same person. The affidavit of one and the same template from template.net is a legal document that. Web when difference documents may have different names due to typographical errors or reason of marriage,. Under some circumstances, names of the same individual may vary in.
Web Affidavit Of One And The Same Person.
Easily sign the form with. Open form follow the instructions. Web you can create your own affidavit of one and the same person by using our free affidavit of identity. The original name of the deponent.


